低阻抗输出,抗干扰,噪音小,可以进行长电缆传输; 性价比高,安装方便,尤其适用于多点测量; 稳定可靠,抗潮湿,抗粉尘,抗有害气体;
点击订货号查看价格,了解更多请登录,享受优惠请拨打4008-824-824
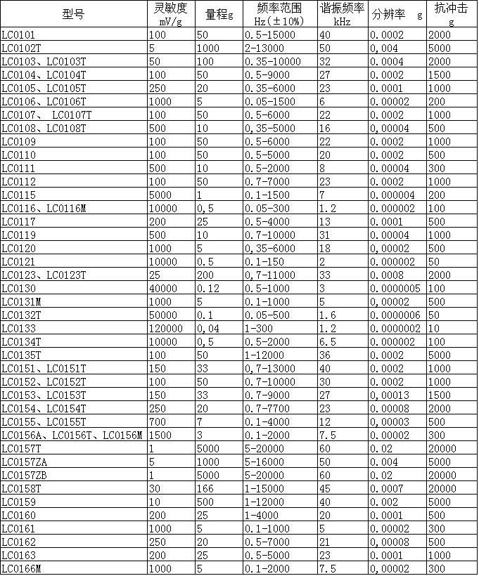
LC01系列内装IC压电加速度传感器是内装微型IC放大器的压电加速度传感器,它将传统的
压电加速度传感器与电荷放大器集于一体,能直接与记录、显示和采集仪器连接,简化了测
试系统,提高了测试精度和可靠性。广泛用于核爆炸、航天航空、铁路、桥梁、建筑、车船、
机械、水利、电力、石油、地质、环保、地震等领域。其突出特点如下:
1、低阻抗输出,抗干扰,噪音小,可以进行长电缆传输; 2、性价比高,安装方便,尤其适用于多点测量; 3、稳定可靠,抗潮湿,抗粉尘,抗有害气体;
销售热线:4008 824 824
公司总机:0755-23881000
企业邮箱:Info@sanpum.com